• 中国科学论文统计源期刊
  • 中国科技核心期刊
  • 美国化学文摘(CA)来源期刊
  • 日本科学技术振兴机构数据库(JST)

主管单位:

安徽省卫生健康委员会

主办单位:

中国科学技术大学附属第一医院
安徽省输血协会

主编: 许戈良

刊期:双月刊

中国标准连续出版物号:

ISSN 1671-2587

CN 34-1239/R

行业动态

    国际输血医学最新动态2025年第4期
  • 405 nm紫蓝光下人血小板质量研究进展

    引言

     

    本期输血医学新进展以405 nm紫蓝光对人血小板的影响为主题,通过分享三篇发表在 J Photochem Photobiol B  Metabolomics 杂志上的研究文章,深入探讨了紫蓝光作为杀微生物手段在血液制品处理中的应用潜力。研究分别从血小板止血功能、线粒体代谢及磷酸化蛋白质组变化、以及代谢组学全貌等多个维度,评估了紫蓝光处理的生物安全性和功能保持情况。相关结果显示,405 nm紫蓝光对血小板的基本代谢和功能影响较小,具有良好的应用前景。上述研究为紫蓝光技术在血液制品质量控制和安全保障中的转化应用提供了重要的实验依据和理论支持。

     

     

    用杀微生物剂 405 nm 光处理的人血小板浓缩物保持止血活性

     

    编译:蔡智    

    审校:黄远帅

    一、研究背景

    为了在制备过程中保护血小板制品(PC)及凝血因子(CF)的关键止血功能,任何在PC储存前所采用的处理手段均应对血小板和血浆成分保持温和。目前已有的化学和紫外光(UV)介导的病原体去除技术(PRT)虽然可有效灭活血液成分中的病原体,但亦已知会对血小板和血浆凝血因子造成一定程度的功能损伤。在这一背景下,研究团队开始关注无需化学试剂或光敏剂参与的可见光波段中的405 nm紫蓝光。研究发现,剂量达270 J/cm2405 nm光照可有效灭活血浆或血浆中悬浮的血小板内的多种细菌、HIV-1病毒及寄生虫。但是目前尚缺乏对该剂量(270 J/cm2405 nm光照是否影响单个凝血因子功能及PC整体止血能力的系统研究。因此,本研究旨在评估270 J/cm2剂量的405 nm光对PC整体止血功能及PPP样本中多个个体凝血因子活性的影响。

     

    二、主要结果

    1. 将单采血小板(PC)在405 nm波长、总剂量为270 J/cm2条件下照射5小时,得到照射处理后的PC样本。随后取其中一部分进行离心,分离获得其所含的贫血小板血浆(PPP-1)。另取部分PC样本先经离心获得PPP,再以相同光照条件处理5小时,得到照射处理后的PPP样本(PPP-2)。

     

     

    1实验设计示意图

     

    2. 与供者匹配的未处理对照组相比,经过405 nm光照处理的样本,其剂量-反应曲线略微向凝血时间延长方向移动。这一变化反映为光照处理组血浆样本(PPP-1)中各凝血因子的活性效价较其供者匹配的对照组略有下降,但仅在第VIII因子(FVIII)中观察到活性降低具有统计学意义。

     

     

    2  405 nm光照对PC样本中凝血因子效价的影响。(A–CG–I)显示了所检测凝血因子的剂量-反应曲线;(D–FJ–L)显示了各凝血因子的活性效价,CHP = 标准化人血浆(用于校准参考),CPP = 对照混合血浆。

     

    3. 405 nm光照处理的样本(直接暴露于光照下的PPP样本)所产生的剂量-反应曲线向凝血时间延长方向偏移,从而导致个别凝血因子的效价较其未处理的供者匹配对照组降低。这一变化反映为直接暴露于光照下的PPP样本(PPP-2)中各凝血因子的活性效价较其供者匹配的对照组略有下降,在第因子(FⅨFⅩFⅪ)中观察到活性降低具有统计学意义。

     

     

    3 405 nm光对PPP样品中凝血因子效力的影响。(A–CG–I)显示了所检测凝血因子的剂量-反应曲线;(D–FJ–L)显示了各凝血因子的活性效价,CHP = 标准化人血浆(用于校准参考),CPP = 对照混合血浆。

     

     

    4. 研究的任何参数中,对照组和光照处理组的 PC 样本之间都没有观察到显著差异。对照组的 R 参数(凝血反应时间)的平均值为 8.3 分钟(± 1.3),而处理组为 9.5 分钟(± 1.7),提示光照处理使凝血反应时间延长了约 1 分钟。两组平均 K 值(凝块达到 20 mm 幅度所需时间)和MA 参数(最大凝块幅度)相似;纤维蛋白聚合动力学在对照组(α = 78.9° ± 1.5CV = 1.86%)与处理组(α = 75.7° ± 3.9CV = 5.09%)之间没有显著差异。

     

     

    1  405 nm光处理的PC样品中的TEG参数

     

    5.对照组的 R 参数的平均值为 9.2 分钟(± 1.7),而处理组为 10.6 分钟(± 1.7),提示光照处理使凝血反应时间延长了约 1 分钟。MA 参数显示为 <40 mm,表明大多数 PPP-1 样本低于仪器的参考范围,这很可能是由于缺乏血小板参与凝块形成所致。纤维蛋白的积累在对照组(α = 72.6° ± 4.9)和处理组(α = 65.4° ± 10.9)之间差异较大。

     

     

    2  PPP-1样本的TEG参数

     

    6. 对照组的 R 参数的平均值为 9.6分钟(± 1.3),而处理组为 13.3 分钟(± 2.0),提示光照处理使凝血反应时间延长了约 4 分钟。这表明去除血小板的血浆比含血小板血浆对光照暴露更敏感(P = 0.055)。对照组和处理组的 MA 值大多数均低于 40 mm,显示出在缺乏血小板的情况下凝块强度较低。对照组(α = 68.4° ± 10.9CV = 15.89%)和直接接受405 nm光照的PPP-2α = 70.9° ± 4.3CV = 5.99%)的纤维蛋白积累相似。

     

    3. PPP-2样本的TEG参数

     

     

     

    三、结论

    在接受270 J/cm2剂量的405 nm紫蓝光处理后,PC的整体止血潜力得以保持,且对凝血蛋白活性产生了较为温和的影响。此外,与先处理血小板后再进行光照处理的血浆相比,存储在血浆中的PC其凝血因子(CFs)活性得到了保护。

     

    四、文献来源

    Jackson JW, Kaldhone PR, Parunov LA, et al. Human platelet concentrates treated with microbicidal 405 nm light retain hemostasis activity. J Photochem Photobiol B. 2024 Jun;255:112922. doi: 10.1016/j.jphotobiol.2024.112922. Epub 2024 Apr 23. PMID: 38677260.

     

     


     

    抗菌 405 nm 紫蓝光处理离体人血小板导致线粒体代谢重编程和磷酸化蛋白质组的潜在改变

     

    编译:孟天娇    

    审校:黄远帅

    一、背景

    为降低通过血液和血液成分发生输血传播感染(TTIS)的风险,提高血液安全性,因此开发了紫外线(UV)照射技术(称病原体减少技术(PRT))。虽然这些PRT技术对病原体灭活有效,但它们采用的处理条件会损害血液成分的质量,所以人们普遍认为这些光灭活技术具有局限性且有待改进。最近,400-470nm波长范围内使用可见的紫-蓝光已被认定为相对安全的替代方法。在先前的研究中表明,可见的紫-蓝光的抗菌能力在临床医学和公共卫生中都有应用,并且已确定405nm光剂量为270J/cm2足以减少病原体,同时不会损害处理过的血液成分的质量。在本研究中,我们使用405nm光处理的血小板,以评估血小板能量利用的变化,对线粒体呼吸功能的总体影响,以及非靶向定量蛋白质组学平台的蛋白质调节差异。

     

    二、主要结果

    1. 405nm光对体外血小板生化参数的影响,光照处理对血小板的pH值没有显著影响,但显著改变了葡萄糖水平和乳酸水平。5h24h光照处理后,对照组与试验组比较,对照组中的葡萄糖水平下降了大约8%,而试验组下降了30%;对照组中的乳酸水平上升了大约78%,而试验组升高了168%。两组氧分压和部分二氧化碳分压间统计无差异。如图1

     

    1 405nm光照对体外储存血小板的影响

    2. 405nm光照处理对体外储存血小板线粒体生物能量的影响。1h光照处理对PLT线粒体生物能量影响不显著。3h光照处理后,PLT最大呼吸有所减少;基础呼吸和ATP相关呼吸与对照组相比,无统计学差异。5h光照处理后,基础呼吸、ATP相关呼吸和最大呼吸参数都显著受影响,基础和ATP相关呼吸减少了约50%,最大呼吸减少了60%24h恢复期后,最大呼吸有所恢复,基础呼吸、ATP相关呼吸无明显变化。如图2

     

    2 不同时长用405nm光照射血小板线粒体生物能量学影响

     

    3. 405nm光照对血小板的糖酵解速率变化的影响。1h光照处理对基础糖酵解、糖酵解能力和糖酵解储备能力没有显著影响,但经5h光照处理,与对照组相比,试验组糖酵解和糖酵解能力显著增加。如图3

    3 405nm光诱导血小板的糖酵解变化

     

    4.  405nm光照诱导线粒体活性氧(ROS),抗氧化剂Mito-Q可以显著减轻这种氧化损伤。经5h光照处理,与对照组相比,试验组线粒体ROS显著增加,但1h光照处理无显著变化。(见图4A)使用线粒体靶向抗氧化剂Mito-Q可以显著减轻这种氧化损伤(图4B)。

     

    4 405nm光照在血小板中产生线粒体活性氧,Mito-Q可以减轻这种影响

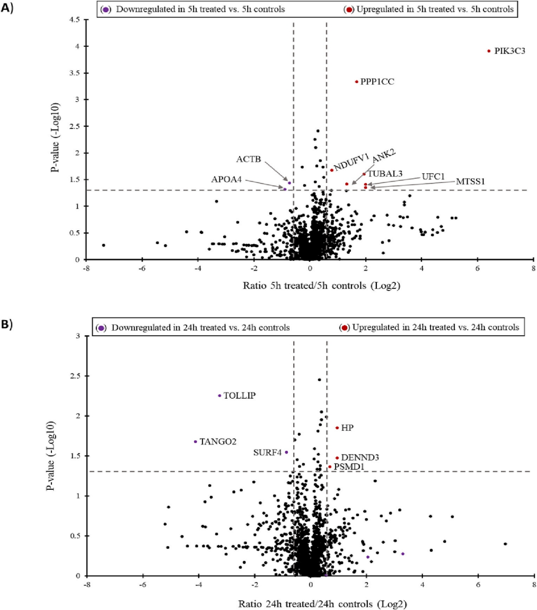
    5  405nm光照处理的血小板的定量蛋白质组学分析405nm光照处理,1801份定量血小板蛋白中有15种蛋白质(0.835%)的表达或周转率发生了显著变化。与对照组相比,9种蛋白质在5h光照处理后表达降低,6种蛋白质在5h光照处理再经24h复苏后表达增加;10种蛋白质在5h光照处理后磷酸化增加,17种蛋白质在5小时处理再经24h复苏后磷酸化增加1、表2、图5 

     

    1 405nm光照处理,有15个蛋白质的表达或周转率发生了变化

     

    2 405nm光照处理后血小板磷酸化情况

     

    5 405nm光照处理对血小板15种蛋白质组学的影响

    三、结论

    该研究证明了405nm-蓝光照射对血小板的代谢产生影响,血小板线粒体代谢重组以应对光照处理,抗氧化剂Mito-Q可以使光照处理导致的ROS得到缓解。尽管光照处理对少数蛋白质的表达和磷酸化状态有显著影响,但总体上对血小板质量的影响较小。这些发现支持进一步评估405nm光照技术,以确定其是否可以作为储存血浆和血小板的较紫外光病原体灭活技术更安全的替代方案。

     

    四、文章来源

    Jana S, Heaven MR, Dahiya N, Stewart C, Anderson J, MacGregor S, Maclean M, Alayash AI, Atreya C. Antimicrobial 405 nm violet-blue light treatment of ex vivo human platelets leads to mitochondrial metabolic reprogramming and potential alteration of Phospho-proteome. J Photochem Photobiol B. 2023 Apr;241:112672. doi: 10.1016/j.jphotobiol.2023.112672. Epub 2023 Feb 21. PMID: 36871490.

     

     


    紫蓝光(405 nm)对体外血小板浓缩物光化学影响的代谢组学评价

     

     

    编译:胡  珊   

    审校:黄远帅

    一、背景

    血小板(PLT)在止血中起着重要作用,从健康人体捐献者采集并处理的体外PLT是关键的输血治疗手段,用于创伤和手术中的救命措施以控制出血,同时也作为预防措施用于血小板减少症患者的出血控制。然而,由于体外贮存环境的影响,体外血小板特别容易受到细菌污染。尽管一些措施如对捐献的血小板进行了一系列病原体的检测及严格执行捐赠者延期捐赠政策,但一些细菌、病毒、朊病毒和寄生虫仍然可以通过输血传播。为了加强和保护血液制品的安全性,已提出采取主动措施,开发已知和新兴病原体的病原体减少技术(PRT),作为增强现有血液安全措施的补充和额外保护层。目前常用的PRT技术是紫外光联合光敏剂处理PLT,但是由于紫外线对哺乳动物细胞,包括细胞血液成分有害。先前的研究表明,405纳米光是有效的杀菌工具,可以灭活多种细菌、血液寄生虫克鲁兹锥虫以及人体免疫缺陷病毒-1HIV-1),在体外人血浆和血小板中均有效。为了进一步评估405纳米可见光作为紫外线相关病原体灭活技术的可行替代方案,本研究通过差异代谢组学分析深入了解405 纳米光效应对体外PLT的功能影响。

    二、主要结果

    1. 研究方法:样本来自5名供体,分别是W78W05W40W429W72。本实验采用配对实验设计避免供体之间对照的差异,通过血细胞分离机收集来自每个供者的浓缩人血小板,然后均匀分成两个转运袋,其中含有等体积的悬浮于血浆中的PLT。其中一袋PLT作为对照;另一个袋子用于光处理,将袋中的PLT暴露于405 nm光下,辐照度约为15 mW/cm2,持续1小时(光剂量=54 J/cm2 )3小时(光剂量=162 J/cm2 )5小时(光剂量=270 J/cm2)。收集每个袋中的PLT沉淀和血浆用于代谢组学分析。因需要分析的样本数量庞大(每个供体将进行160个代谢组学分析),因此仅对首位可用供体(W78)进行了所有5个时间点的血小板浓缩物分析,而其他4个供体在第1小时和第5小时的PLT浓缩物代谢组学分析则用于验证首位供体(W78)的结果。

     

    1 实验主要流程图

     

    2. 供体W78血浆和PLT经光照处理组(T)和对照(Ctr)组的代谢组学数据的主成分分析(PCA)得分图。对于供体 W78的偏最小二乘判别分析 (PLS-DA) 得分图显示,在光处理后,血浆和 PLT 中都出现了时间群分离,而对照组紧密聚集在一起,与处理组截然不同。另外4个供体的PLS-DA图也显示了治疗组和对照组在血浆和PLT中的差异。

     

    2 血浆和PLT经光照处理组(T)和对照(Ctr)组的代谢组学数据的主成分分析(PCA)得分图

     

    3. 乳酸水平供体W78的乳酸水平在光照处理后,PLT和血浆中的乳酸水平均随时间增加(图3)。T5时的血浆乳酸水平比对照组T5~ 1.6倍,这与血液气体分析仪检测到的倍数变化(~ 1.7倍)一致。其他4位供体的血浆乳酸倍数增加(T5/对照组T5)范围为1.42.3倍。

     

    3供体W78中血浆和血小板(PLT)乳酸水平随光照时间(即剂量)增加的代表性示例

     

    4. 光照后血浆和PLT中代谢产物差异化分析。通过热图的层次聚类进一步分析了血浆和PLT中变化最显著的50种代谢物(p < 0.05),以直观地展示光照时间对供体W78代谢组的影响(图4ab)。两组不同的代谢物用罗马数字标记。组I由抗氧化代谢物、内源性光敏剂代谢物和花生四烯酸相关代谢物组成,这些代谢物在光照处理后均有所减少。组II由醛类、维生素D、氧化维生素A、乳酸和类固醇代谢物组成,这些代谢物随光照剂量增加而增加。在组II中,羟基脂肪酸(OH-FA)在光照处理1小时后显著增加,并在5小时光照处理过程中一直保持在高水平。血浆和PLT代谢物中,VIP评分最高的15种最重要变量(VIP评分越高,治疗组与对照组相比的变化越大)代谢物包括胆红素衍生物、醛类、羟基脂肪酸、酰基肉碱以及维生素DA衍生物(图4c

     

     

    4 光照后血浆和PLT中代谢产物差异化分析

     

    5. 参与花生四烯酸(AA)代谢途径的相关代谢物的变化。光照5小时后,参AA代谢途径的血浆代谢物发生显著变化,这些代谢物总结于图表中(图5)。二十碳五烯酸 (EPA) 和AA在5小时光照处理后显著降低。与对照组相比,5小时光照处理显著增加羟基花生四烯酸 (OH-AA)。OH-AAAA在脂氧合酶和/或活性氧(ROS)作用下的代谢产物,包括12-HETE8-HETE及其下游氧化代谢物12-HETE5-oxo- 12-HETE 8,20-DiHETE。结果显示,含OH-AA的磷酸胆碱(C20:4-OH PC)和磷脂酰乙醇胺C20:4-OH PE也显著增加,这可能表明与光处理相关的膜脂组成发生了改变(含有更多的羟基脂肪酰基链)。值得注意的是,前列腺素是环加氧酶代谢AAEPA的产物,也是众所周知的血小板聚集抑制因子,在光处理后并未发生变化(图5)。

     

    5 参与花生四烯酸(AA)代谢途径的相关代谢物的变化AA代谢过程简化,仅显示相关代谢物。绿色(下调)、粉色(上调)和黄色(不变)框表示光处理后代谢物水平的变化。

     

    6. 涉及氧化应激、糖酵解和脂肪酸β氧化途径的代谢物变化。5小时光照处理后,在血浆和PLT中,内源性光敏剂包括胆红素衍生物和维生素A以及谷胱甘肽衍生物均显著减少,这很可能是由于其抵消了光照产生的活性氧(ROS)。血浆中检测到的其他内源性光敏剂增加,包括氧化维生素A代谢物(例如视黄酯和维甲酸)、维生素D3D5、普美孕酮和苯甲酸衍生物,而后两种代谢物PLT中也增加。在血浆中,5小时光照处理后,OH-FAs羟基脂肪酸,脂肪酸被ROS过氧化的产物)和几种醛(由ROS过氧化裂解多不饱和脂肪酸而产生)含量增加。在PLT中,OH-FAs羟基脂肪酰肉碱和饱和脂肪酰肉碱含量增加,这也表明光照处理加速了脂肪酸过氧化和饱和FAsβ-氧化。血浆和PLT中的乳酸水平均呈时间依赖性升高,这表明无氧糖酵解途径可能参与其中,并且可能与光照诱导ROS导致的快速缺氧有关。尽管如此,丙酮酸(连接脂肪酸β-氧化、无氧和有氧糖酵解途径的重要中间代谢物之一)并没有发生显著变化。值得注意的是,在5小时光照处理后,PLT中的腺苷、ADPPLT活化因子(PAF),包括PAFPAF C-18:1和溶血PAF C-18,并没有发生显著变化(图6

     

    6 涉及氧化应激、糖酵解和脂肪酸β氧化途径的代谢物变化。绿色(下调)、粉色(上调)和黄色(不变)框表示光处理后代谢物水平的变化。

     

    7. 供体 W78 血浆和 PLT 中检测到的显著变化的 OH-FA 的比例代谢物中最明显的增加是OH-FA,它是脂肪酸被光照产生的ROS过氧化的产物。在检测到的 24种OH-FA中,有 14 种在光照处理 1小时后在血浆中显著增加(p<0.05)(图7),并在5小时的光照处理过程中保持升高。在1小时光照处理后FA 过氧化增加的事实表明,即使仅经过1小时的光照处理,ROS 引起的这种反应也达到了高水平。ROS 水平与传染性病原体的光化学损伤程度呈正相关。在捐赠者 W05、W40、W429 和 W72 的血浆中,1小时后也检测到了OH-FA比例显著升高

     

    7 紫蓝色光处理12345小时后供体W78血浆和血小板中OH-FAs变化的比率列表

    三、结论

    光照5小时后,前列腺素、PAF和激动剂的水平未受影响,表明紫蓝光(405 nm)照射不会触发或阻止PLT聚集过程。光照5小时后,细胞内和细胞外溶血磷脂酰胆碱和磷脂水平未发生变化,表明PLT膜完整性未受影响。OH-FAs和醛类物质的明显增加表明仅在光照1小时后就产生了高水平ROS。此外,观察到的抗氧化代谢物的减少和相应氧化代谢物的增加很可能是由ROS中和引起的,这表明光照在PLT浓缩物中产生ROS。仅暴露1小时即可明显改变内源性光敏剂代谢物,这为405 nm光处理的杀菌活性无需添加外部光敏剂提供了强有力的证据。然而,本研究并未检测PLT5-7天的长期储存过程中的储存损伤,这值得进一步研究。

     

    四、文献来源

    Sun J, Dahiya N, Schmitt T, et al. Metabolomics evaluation of the photochemical impact of violet-blue light (405 nm) on ex vivo platelet concentrates. Metabolomics. Oct 19 2023;19(11):88. doi:10.1007/s11306-023-02050-6

     

     

     

发布日期: 2025-04-27  浏览: 471